Private Antitrust Litigation: Procompetitive Or Anticompetitive?
Private Antitrust Litigation:
Procompetitive or Anticompetitive?
R. Preston McAfee, Hugo M. Mialon, and Sue H. Mialon*
December 1, 2005
Abstract
The antitrust laws are intended to permit procompetitive actions by firms and deter anticompetitive actions. We consider firms' incentives to use the antitrust lawsuits for strategic purposes, in particular to prevent procompetitive efficiency-improvement by rival firms. Our main result is that, ceteris paribus, smaller firms in more fragmented industries are more likely to use the antitrust laws strategically than larger firms in concentrated industries.
I. Introduction
The antitrust laws were put in place to protect competition. Competition lowers prices and increases firms' incentives to innovate, to the benefit of consumers. However, the antitrust laws also have the potential to harm consumers if the laws are used to subvert competition. Whether the antitrust laws improve consumer welfare depends crucially on the incentives of those bringing antitrust lawsuits to court.
In the United States, the Antitrust Division of the Department of Justice and the Federal Trade Commission enforce the antitrust laws on behalf of the public. These agencies are charged with representing consumers. In addition, the antitrust laws are also enforced privately in the United States--firms directly harmed by anticompetitive acts have standing to sue under the antitrust laws. The Clayton Act, which offers the successful plaintiff treble damages, often makes such private litigation quite attractive.
Private firms will generally pursue antitrust actions when it is in the private firm's interest, an interest that could easily diverge from the social interest. Firms may have incentive to use the antitrust laws strategically, which may hinder rather than promote competition. The possibility of strategic abuse of the antitrust laws has been raised by, among others, Baumol and Ordover (1985), Breit and Elzinga (1985), Shughart II (1990), Brodley (1995), and McAfee and Vakkur (2004). McAfee and Vakkur identify several ways in which firms can use the antitrust laws strategically. Let us illustrate several of them with important cases that have arisen in the U.S. courts.
Firms may use the antitrust laws to improve contractual conditions. The antitrust lawsuit filed by the Colorado Chiropractic Council (CCC) and 46 doctors of chiropractic against 9 Colorado hospitals is an example.1 The suit came after a letter from CCC asking for staff privileges and mailed to 30 hospitals in the state. The 9 hospitals that did not respond or responded unfavorably were targeted by CCC. The suit alleged that these hospitals "have effectively restrained and suppressed the free flow of trade resulting in an uncompetitive marketplace." The lawsuit was dismissed from the U.S. States District Court. In his ruling, Judge Finesilver said, "the letter from plaintiffs' counsel ... requests a blanket grant of staff privileges ... closed with a threat to initiate litigation if the defendants fail to respond or respond negatively within 30 days. We find the contention of plaintiff's to be without merit and completely lacking substance as the basis for an antitrust action" (1986 U.S. Dist. LEXIS 17233, 650 F. Supp. 231 at 236).
Using the antitrust laws strategically to modify the terms of a contract can be damaging to the contractual parties and may discourage long term investments under a standard hold-up theory. The hold-up problem exists when parties refrain from working together because they are afraid that they may give the other party increased bargaining power once they cooperate. Contracts resolve the problem and improve efficiency as the parties are now willing to participate in jointly profitable actions. However, if the parties can use antitrust suits to alter the terms of the contract in their favor, then parties will anticipate such opportunistic behavior, which will make it harder for them to cooperate in the first place. Parties will end up experiencing more inefficiencies as they need to write more complex contracts to prevent hold-up and avoid renegotiation costs.
Firms may also take private antitrust actions simply to respond to existing private actions. Qualcomm owns around 40 per cent of the patents related to CDMA (Code-Division Multiple Access, a digital cellular technology that uses spread-spectrum techniques). While the others are held by Ericsson and Nokia, Qualcomm is credited with pioneering the commercial public use of the technology. In 2002, Qualcomm sued Maxim, a billion dollar a year supplier of analog integrated circuits and owner of Dallas Semiconductor, claiming that Maxim infringed five of its patents. As a part of its efforts to throw out the case, Maxim filed an anti-trust suit against Qualcomm in 2004, accusing it of misusing its patents to exclude competition from the market for CDMA technology.2
These situations complicate the task of the courts by aggregating several actions. Moreover, they may have negative effects if they thwart antitrust actions that are pursued for good reason. Of course, they may also have positive effects if they thwart antitrust actions that are pursued strategically, but the counter-suits themselves may also be pursued strategically.
Private antitrust litigation may also be aimed at extorting profitable settlements from successful rivals. An example is AOL's antitrust lawsuit against Microsoft.3 In 2002, just after the U.S. Department of Justice and Microsoft reached a settlement after Microsoft was found guilty of violating the antitrust laws in a government lawsuit begun in 1997, AOL filed the lawsuit against Microsoft through its subsidiary Netscape. AOL purchased Netscape in 1999 after the damage on Netscape had already been done by Microsoft, and waited for 3 years until Microsoft was found guilty of anticompetitive behavior before asking for relief. The settlement of this lawsuit paid AOL $750 million in damages. Although AOL sued on the grounds that the damages to Netscape reduced competition in the browser market, the settlement essentially put an end to competition in this market, by promising AOL a 7 year royalty-free license to use Microsoft's browser. AOL appeared uninterested in restoring Netscape, only in obtaining a profitable settlement from Microsoft.
Finally, private antitrust litigation may be aimed at impeding healthy competition from rival firms. For example, in September 1999, start-up Next Generation Realty sued the leading full-service real estate broker Iowa Realty Co. Inc. claiming that Iowa Realty used its size and influence to force the Next Generation Realty to pay $30 apiece for exclusive-right-to-sell listings.4 Initially, Next Generation filed the suit to require Iowa Realty to share commissions, while Next Generation refused to share commissions on its listings sold. When Iowa Realty declined to reciprocate on that basis, Next Generation accused it of violating Iowa's anti-trust statute. The Iowa Supreme Court dismissed the action stating that the claims were without any merit or proof (686 N.W.2d 206; 2004 Iowa Sup. LEXIS 253).
Private firms usually have strong incentives to initiate antitrust lawsuits against rival firms that have violated the antitrust laws (procompetitive suits), but may also have incentives to initiate antitrust lawsuits against rival firms that have not violated the antitrust laws (anticompetitive suits), as in the various cases described above. Whether private antitrust enforcement is ultimately procompetitive or anticompetitive therefore depends on whether there are more procompetitive suits than anticompetitive suits, which in turn depends on whether a firm's losses from a rival firm's action are greater if the action is anticompetitive than if it is proticompetitive.
In the next section, we address this question in a Cournot model. We find that in industries with two or three firms, a firm with a share of the market greater than a half suffers a greater loss from an anticompetitive action than from a procompetitive action by a rival firm. In an industry with three firms, a firm with less than half the market suffers a greater loss from a procompetitive action than from an anticompetitive action by a rival firm. Moreover, we find that the value of stopping a rival's procompetitive action is more likely to be greater than the value of stopping an anticompetitive action the greater is the number of firms in the industry.
II. Theory
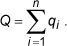
Consider a Cournot oligopoly. There are n firms, which we number 1,2, ... n, and firm i chooses the quantity qi. The price p(Q) that arises depends on total industry output Q, where
(1) ![]()
Firm i is assumed to have a constant marginal cost ci and maximizes its profit pi, which is given by
(2) ![]()
In what follows, we assume that the first order conditions solve uniquely, and for interior solutions. Interior solutions satisfy
(3) ![]()
Summing (3) over all the firms, we get
(4) ![]()
Equation (4) shows that total industry quantity Q depends on the demand, the aggregate marginal cost, and the number of competitors. Totally differentiating equation (4), we obtain:
(5) ![]()
For notational simplicity, it is useful to define
(6) ![]()
and
(7) ![]()
Under the standard assumption of decreasing marginal revenue, 2p'(Q) + Qp"(Q) < 0, and thus a > -2. This implies that industry quantity is a decreasing function of the aggregate marginal cost, that is,
(8) ![]()
The effect of a change in aggregate cost on price is
(9) ![]()
The effect of a change in firm j's cost on firm i's quantity is (assuming j
i)
(10) ![]()
where
is the market share of firm i. A change in firm i's cost affects its own quantity by
(11) ![]()
Thus, a change in rival j's cost affects firm i's profits by
![]()
(12)
On the other hand, the effect of a change in firm i's cost on its own profits is
(13) 
Suppose firm 1 takes an action that is either procompetitive or anticompetitive. If the action is procompetitive, then it reduces firm 1's cost by an amount
. This reduces industry cost C by
. The competitive effect of this is to reduce market price by approximately
If the action is anticompetitive, then it increases the cost of each of firm 1 's rivals by an amount R. This increases the market price by approximately ![]()
For example, any investments that lead to innovations are acts that reduce the firm's costs. These acts are procompetitive since they may ultimately benefit consumers. Blocking access to crucial or related inputs, exclusive dealing arrangements with suppliers, or exclusive patent cross-licensing arrangements, are examples of strategies that are used to raise rivals' costs. These strategies are anticompetitive because they may harm consumers.5
If the two types of action have the same magnitude of effect on the price (but with the procompetitive effect having a positive sign and the anticompetitive effect having a negative sign), then
= (n - 1)R. The change in price corresponds to the change in consumer surplus, which approximates the change in social welfare for a small change in costs. The above condition simply says that the social gain from the action if it is procompetitive is approximately equal to the social loss from the action if it is anticompetitive.
Now consider the incentive for firm i
1 to sue firm 1 for an alleged antitrust violation. This net gain of a suit is composed of three terms: the likelihood of prevailing in court, the size of the damages to the firm, and the cost of the action. Presumably, the plaintiff is less likely to prevail if the action of the firm is procompetitive than if the action is anticompetitive. However, we focus on the value of success to the plaintiff. From (12), the loss to firm i from a procompetitive action by firm 1 of magnitude
is, for small
,
(14) ![]()
On the other hand, an anticompetitive action affects firm i's profits by increasing its own cost and also by increasing the costs of firm i's rivals. The change in firm i's profits from an across the board increase of magnitude R in rivals' costs cj, for j > 1, j
i, and its own cost, for j = i, is
(15) 
Equations (14) and (15) imply that, in general, firms with a larger market share have the most to gain from stopping an anticompetitive or a procompetitive action.
To keep the price effect the same from the two types of actions, we let
= (n-1)R. Then (14) becomes
(16) ![]()
Firm i is more likely to sue firm 1 for taking an anticompetitive action than for taking a procompetitive action if its loss from an anticompetitive action is greater than its loss from a procompetitive action, which happens if and only if
(17) 
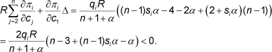
For n = 2, if si > ½, then (-1 + sia -a)< 0. This means that in a duopoly, the dominant firm's value of stopping an action by its smaller rival is greater if the action is anticompetitive than if it is procompetitive action. But if the non-dominant firm is sufficiently small relative to the dominant firm, then the non-dominant firm's value of stopping an action by the dominant firm is greater if the action is procompetitive than if it is anticompetitive.
For n = 3, 2sia - a < 0 if and only if si > ½. This means that in a trigopoly, only a dominant firm suffers a greater loss from a rival's action if the action is anticompetitive than if it is procompetitive. A non-dominant firm always suffers a greater loss from a rival's action if the action is procompetitive than if it is anticompetitive. The implication is that, in highly concentrated industries, if a dominant firm sues a non-dominant firm then the lawsuit is probably procompetitive, but if a sufficiently small non-dominant firm sues a dominant firm, then the lawsuit is more likely to be anticompetitive.
Moreover, as n grows, it is more likely that (n - 3 + (n - 1)sia - a) > 0. This means that a firm's loss from a procompetitive action by a rival firm is more likely to be greater than its loss from an anticompetitive action by the rival firm the more firms there are in the industry. The implication is that lawsuits are more likely to be anticompetitive in dispersed industries than in concentrated industries.
This striking result arises because firm i's loss from a procompetitive action increases as n grows while firm i's loss from an anticompetitive action decreases as n grows. Recall that firm i's loss from a procompetitive action is
(18) ![]()
Firm i incurs the same amount of loss whether firm 1 lowers its cost by
or each of its rivals (including firm 1) lowers their cost by R. Therefore, as far as firm i is concerned, the effect of a procompetitive action is equivalent to a decrease in the costs of each of its rivals. This causes firm i to incur a loss as firm i is now less efficient relative to each of its rivals. And the greater is the number of rivals relative to which firm i is less efficient, the greater is firm i's loss. Hence, firm i's loss from a procompetitive action is greater the larger is the number of firms in the industry.
On the other hand, firm i's loss from an anticompetitive action (see equation 15) can be rewritten as
(19) 
This expression is clearly decreasing in n. An anticompetitive action by firm 1 imposes a loss on firm i, as firm i 's costs are now increased relative to firm 1's costs (this effect corresponds to the term
in the above expression). But the anticompetitive action by firm 1 also increases the costs of each of firm i's rivals, which benefits firm i and therefore mitigates its loss from the anticompetitive action (this effect corresponds to the term (n-2)
). Firm i's loss from firm 1's anticompetitive action is mitigated to a greater extent the greater is the number of other firms in the industry that also suffer the cost increase from firm 1's anticompetitive action. For this reason, firm i's loss from an anticompetitive action is decreasing in n.
Note that firm i's gain from the increase in the costs of each of its rivals other than firm 1 is equal to its gain from the increase in the costs of each of its rivals including firm 1 minus its loss from an equivalent decrease in firm 1's cost. The decrease in firm 1's cost and the increase in firm i's cost relative to firm 1 cause a double loss to firm i (corresponding to the term -2qiR in equation 19). On the other hand, the increase in the costs of each of firm i's rivals yields a benefit to firm i (corresponding to the term (n-1)
). And firm i's benefit from the increase in the costs of each of its rivals from an anticompetitive action by firm 1, (n-1)
, is exactly the same as firm i's loss from a procompetitive action by firm 1, which is increasing in n.
The loss from a procompetitive action is decreasing in n while the loss from an anticompetitive action is increasing in n. Thus, as n becomes larger, the loss from a procompetitive action is more likely to dominate. Hence, lawsuits are more likely to be anticompetitive in less concentrated industries than in more concentrated industries.
III. Conclusion
In this paper, we developed a simple Cournot model to analyze the conditions under which private antitrust enforcement is procompetitive or anticompetitive. Our first result implies that in highly concentrated markets, antitrust lawsuits by non-dominant firms against dominant firms are more likely to be strategic abuses of the antitrust laws than lawsuits by dominant firms against non-dominant firms. The result suggests that the relative sizes of the plaintiff and the defendant will be correlated with the plaintiff's intentions in antitrust cases in highly concentrated markets. Our second result implies that lawsuits are more likely to be anticompetitive in more dispersed industries than in more concentrated industries. This result suggests that private antitrust enforcement should be more suspect in competitive industries than in concentrated industries.
We have pointed out the possibility of private antitrust lawsuits being abused, and derived conditions under which private lawsuits are more likely to be abused. These conditions may be useful to antitrust authorities in detecting private abuse of the antitrust laws.
Naturally, the next question is: what can be done to prevent private abuse of the antitrust laws? McAfee, Mialon, and Mialon (2005) construct a formal model that provides some answers. The obvious way to prevent private abuse of the antitrust laws is to reduce the scope of private enforcement, and expand the scope of public enforcement, of the antitrust laws. Private firms have greater incentives to abuse of the antitrust laws than the government. However, private enforcement also has advantages over public enforcement. For example, private firms tend to be better informed than the government about whether one of their rivals has taken an anti-competitive action.
In general, private firms have greater incentives to enforce the antitrust laws against rival firms, which provides a strong deterrent against anticompetitive actions, but also increases the possibility that the antitrust laws will be abused. Then the question is whether the antitrust system can be structured so that the abusive effect of private antitrust enforcement is minimized while its deterrent effect is maximized. This can be accomplished by multiplying and decoupling damage awards in antitrust cases, for example. Damage awards can be multiplied so that a loosing defendant is required to pay a multiple of the amount of damages that it caused the plaintiff by taking the anti-competitive action. Damages can be decoupled so that a winning plaintiff receives only a fraction of what the loosing defendant is required to pay. Multiplying damages reduces the incentives of firms to take anti-competitive actions, while decoupling damages reduces the incentives of firms to abuse of the antitrust laws.
References
Baumol, W.J. and Ordover, J.A., 1985. "Use of Antitrust to Subvert Competition," 28 Journal of Law and Economics 1.
Breit, W. and Elzinga, K.G., 1985. "Private Antitrust Enforcement: The New Learning," 28 Journal of Law and Economics 405.
Brodley, J.F., 1995. "Antitrust Standing in Private Merger Cases: Reconciling Private Incentives and Public Enforcement Goals," 94 Michigan Law Review 1.
McAfee, R.P. and Vakkur, N., 2004. "The Strategic Abuse of Antitrust Laws," 1 Journal of Strategic Management Education 3.
McAfee, R.P, Mialon, H.M., and Mialon, S.H., 2005. "Private v. Public Antitrust Enforcement: A Strategic Analysis," Emory Law and Economics Research Paper No. 05-20.
Shughart II, W.F., 1990. "Private Antitrust Enforcement: Compensation, Deterrence, or Extortion?", 13 Regulation 53.
FOOTNOTES
1. "D.C.s lose bid for hospital privileges," The Chiropractic Journal, November 1986.
2. Orlowski, Andrew, "Qualcomm hit with anti-trust suit," The Register, April 17, 2004.
3. Glassman, James K., "AOL Antitrust Suit Against Microsoft," Capitalism Magazine, January 27, 2002.
4. Evans, Blanche, "Iowa Anti-trust Suit Settled," Realty Times, September 6, 2004.